dimanche 21 juin 2015

Propriétés des Solutions aqueuses

Format de fichier : PDF/Adobe Acrobat
Cours de Biophysique Moléculaire. Prof : Marie Carmelle PAUL AUSTIN. Chapître XI - Propriétés des Solutions aqueuses. En général, le terme de solution est ...
www.ht.refer.org/coursenligne/biophysique.../pdf/chap11.pdf
[modifier | modifier le code]. L'eau est un bon solvant car : elle a une permittivité électrique importante εc, qui ...
fr.wikipedia.org/wiki/Solution_aqueuse
Propriétés des espèces chimiques ... Définition: une solution aqueuse est un mélange homogéne obtenu en dissolvant une substance ( solide liquide ou gazeuse ) ... On distingue deux types de solutions aqueuses selon la nature du soluté:
www.physique-chimie-lycee.fr/.../sa06_1-solution-aqueuse.html
I.1. Propriétés physiques. Retour au plan du cours sur les pH des solutionsaqueuses. Longueur de ...
marsal.univ-tln.fr/pHdos/phsolac.html
Ex : eau salée, solution de sulfate de cuivre,vinaigre, soude,… Conclusion :Lessolutions aqueuses doivent contenir des ions (particules chargées) pour être ...
pccollege.fr/.../chapitre-iii-conduction-electrique-des-solutions-aqueuses/
Les propriétés acido-basiques des solutions contenant un acide faible et la base conjuguée de cet acide en quantités comparables sont telles que ces solutions ...
uel.unisciel.fr/chimie/solutaque/...ch07/.../apprendre_ch7_02.html
Format de fichier : PDF/Adobe Acrobat
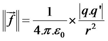
Propriétés de l'eau solvant. Molécule polaire, moment dipolaire élevé. Constante diélectrique élevée (ε r. = 80). I.1) Solutions aqueuses q' r q. Interaction de 2.
www.uvp5.univ-paris5.fr/wikinu/.../gauchard_pierre_alexis_P06.pdf
Pour percevoir les propriétés des acides, des bases et des sels, ceux-ci doivent absolument être en solution aqueuse. Ils doivent être dissous dans l'eau ...
bv.alloprof.qc.ca/...proprietes...proprietes-des-solutions/les-proprietes-des- acides,-basiques-et-des-sels-en-solution.aspx
Format de fichier : PDF/Adobe Acrobat
Il est généralement disponible en solutions aqueuses à des concentrations variant entre ... décomposition catalytique du produit (voir « Propriétéschimiques »).
www.inrs.fr/dms/inrs/FicheToxicologique/TI-FT-123/ft123.pdf
Format de fichier : PDF/Adobe Acrobat
de répertorier toutes les espèces présentes dans une solution aqueuse d'acide ... Lors de l'étude des propriétés acido-basiques des solutions aqueuses, on est.
www.grptrans.ulg.ac.be/modules/ph-equab.pdf

Aucun commentaire:

Enregistrer un commentaire